15/03/2015
Witaj w świecie trygonometrii, gdzie kąty i boki trójkątów prostokątnych ożywają dzięki fascynującym zależnościom! Tożsamości trygonometryczne to klucz do zrozumienia i rozwiązywania wielu problemów matematycznych, od podstawowych zadań szkolnych po zaawansowane zagadnienia inżynierskie i fizyczne. Ale czym dokładnie są te tożsamości i dlaczego są tak ważne?
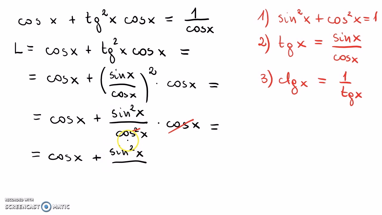
Czym są tożsamości trygonometryczne?
Tożsamości trygonometryczne to równości, które zawierają funkcje trygonometryczne i są prawdziwe dla wszystkich wartości zmiennych, dla których wyrażenia po obu stronach są zdefiniowane. Stanowią one fundamentalne narzędzie w matematyce, umożliwiając upraszczanie skomplikowanych wyrażeń i rozwiązywanie równań trygonometrycznych. Są one oparte na sześciu podstawowych funkcjach trygonometrycznych: sinus (sin), cosinus (cos), tangens (tg), cotangens (ctg), secans (sec) i cosecans (csc). Funkcje te definiowane są w odniesieniu do boków trójkąta prostokątnego: przyprostokątnej przeciwległej, przyprostokątnej przyległej i przeciwprostokątnej.

Przykład dowodu tożsamości trygonometrycznej
Aby lepiej zrozumieć, jak działają tożsamości, przyjrzyjmy się przykładowi dowodu. Zakładamy, że wyrażenie jest określone, czyli że sin x ≠ 0 oraz cos x ≠ 0. Tak jest dla x ∈ R \ {kπ/2: k ∈ Z}.
Mamy do udowodnienia tożsamość:
L = (sin x + cos x)2 / (sin x cos x) - 2
Przekształcamy lewą stronę:
L = (sin2x + 2 sin x cos x + cos2x) / (sin x cos x) - (2 sin x cos x) / (sin x cos x)
Wykorzystujemy jedynkę trygonometryczną (sin2x + cos2x = 1):
L = (1 + 2 sin x cos x) / (sin x cos x) - (2 sin x cos x) / (sin x cos x)
L = 1 / (sin x cos x) + (2 sin x cos x) / (sin x cos x) - (2 sin x cos x) / (sin x cos x)
L = 1 / (sin x cos x)
Teraz przekształcamy prawą stronę:
P = tg x + cos x / sin x
Stosujemy wzór na tangens (tg x = sin x / cos x) i sprowadzamy ułamki do wspólnego mianownika:
P = sin x / cos x + cos x / sin x
P = (sin2x) / (cos x sin x) + (cos2x) / (sin x cos x)
P = (sin2x + cos2x) / (sin x cos x)
Ponownie stosujemy jedynkę trygonometryczną:
P = 1 / (sin x cos x)
Zatem zachodzi równość L = P, co dowodzi tożsamości.

Rodzaje tożsamości trygonometrycznych
Istnieje wiele różnych tożsamości trygonometrycznych, które można pogrupować w zależności od ich zastosowania i struktury. Oto najważniejsze z nich:
1. Tożsamości wzajemne (odwrotne)
Definiują zależności między funkcjami trygonometrycznymi a ich odwrotnościami:
- sin θ = 1 / csc θ
- cos θ = 1 / sec θ
- tg θ = 1 / ctg θ
2. Tożsamości pitagorejskie
Są one bezpośrednim wynikiem twierdzenia Pitagorasa dla trójkąta prostokątnego. Są to trzy kluczowe tożsamości:
- sin2α + cos2α = 1
- 1 + tg2α = sec2α
- 1 + ctg2α = csc2α
Dowód tożsamości pitagorejskich:
Rozważmy trójkąt prostokątny ABC z kątem prostym w wierzchołku B. Zgodnie z twierdzeniem Pitagorasa, mamy:
AC2 = AB2 + BC2
Dowód sin2α + cos2α = 1:
Dzieląc obie strony równania AC2 = AB2 + BC2 przez AC2, otrzymujemy:
AC2/AC2 = AB2/AC2 + BC2/AC2
1 = (AB/AC)2 + (BC/AC)2
Ponieważ cos α = AB/AC (bok przyległy do kąta α / przeciwprostokątna) i sin α = BC/AC (bok przeciwległy do kąta α / przeciwprostokątna), podstawiając te wartości, otrzymujemy:
1 = cos2α + sin2α
Dowód 1 + tg2α = sec2α:
Dzieląc równanie AC2 = AB2 + BC2 przez AB2, otrzymujemy:
AC2/AB2 = AB2/AB2 + BC2/AB2
(AC/AB)2 = 1 + (BC/AB)2
Ponieważ sec α = AC/AB i tg α = BC/AB, podstawiając, otrzymujemy:
sec2α = 1 + tg2α
Dowód 1 + ctg2α = csc2α:
Dzieląc równanie AC2 = AB2 + BC2 przez BC2, otrzymujemy:
AC2/BC2 = AB2/BC2 + BC2/BC2
(AC/BC)2 = (AB/BC)2 + 1
Ponieważ csc α = AC/BC i ctg α = AB/BC, podstawiając, otrzymujemy:
csc2α = ctg2α + 1
3. Tożsamości ilorazowe
Łączą tangens i cotangens z sinusem i cosinusem:
- tg θ = sin θ / cos θ
- ctg θ = cos θ / sin θ
4. Tożsamości dla kątów przeciwnych
Opisują zachowanie funkcji trygonometrycznych dla ujemnych kątów:
- sin (-θ) = -sin θ
- cos (-θ) = cos θ
- tg (-θ) = -tg θ
- ctg (-θ) = -ctg θ
- sec (-θ) = sec θ
- csc (-θ) = -csc θ
5. Tożsamości dla kątów dopełniających
Kąty dopełniające sumują się do 90 stopni (π/2 radianów):
- sin (90° - θ) = cos θ
- cos (90° - θ) = sin θ
- tg (90° - θ) = ctg θ
- ctg (90° - θ) = tg θ
- sec (90° - θ) = csc θ
- csc (90° - θ) = sec θ
6. Tożsamości dla kątów suplementarnych
Kąty suplementarne sumują się do 180 stopni (π radianów):
- sin (180° - θ) = sin θ
- cos (180° - θ) = -cos θ
- tg (180° - θ) = -tg θ
- ctg (180° - θ) = -ctg θ
- sec (180° - θ) = -sec θ
- csc (180° - θ) = csc θ
7. Tożsamości sumy i różnicy kątów
Pozwalają na rozbicie funkcji trygonometrycznych sumy lub różnicy dwóch kątów:
- sin(α + β) = sin α cos β + cos α sin β
- sin(α - β) = sin α cos β - cos α sin β
- cos(α + β) = cos α cos β - sin α sin β
- cos(α - β) = cos α cos β + sin α sin β
- tg(α + β) = (tg α + tg β) / (1 - tg α tg β)
- tg(α - β) = (tg α - tg β) / (1 + tg α tg β)
8. Tożsamości podwójnego kąta
Wyrażają funkcje trygonometryczne podwojonego kąta:
- sin 2θ = 2 sin θ cos θ
- cos 2θ = cos2θ - sin2θ = 2 cos2θ - 1 = 1 - 2 sin2θ
- tg 2θ = (2 tg θ) / (1 - tg2θ)
9. Tożsamości połówkowego kąta
Używane do wyrażenia funkcji trygonometrycznych połowy kąta:
- sin (θ/2) = ±√[(1 - cos θ)/2]
- cos (θ/2) = ±√[(1 + cos θ)/2]
- tg (θ/2) = ±√[(1 - cos θ)/(1 + cos θ)]
10. Tożsamości sumy/różnicy na iloczyn
Pozwalają przekształcić sumę lub różnicę sinusów/cosinusów w iloczyn:
- sin A + sin B = 2 sin((A+B)/2) cos((A-B)/2)
- cos A + cos B = 2 cos((A+B)/2) cos((A-B)/2)
- sin A - sin B = 2 cos((A+B)/2) sin((A-B)/2)
- cos A - cos B = -2 sin((A+B)/2) sin((A-B)/2)
11. Tożsamości iloczynu na sumę/różnicę
Przeciwieństwo tożsamości sumy/różnicy na iloczyn:
- sin A sin B = [cos (A - B) - cos (A + B)]/2
- sin A cos B = [sin (A + B) + sin (A - B)]/2
- cos A cos B = [cos (A + B) + cos (A - B)]/2
Prawa trygonometryczne dla dowolnych trójkątów
Oprócz tożsamości, które dotyczą kątów w trójkątach prostokątnych lub ogólnych wyrażeń, istnieją również prawa trygonometryczne, które mają zastosowanie do dowolnych trójkątów, nie tylko prostokątnych.
Prawo sinusów
Dla trójkąta o wierzchołkach A, B, C i odpowiednich bokach a, b, c (leżących naprzeciwko wierzchołków):
a / sin A = b / sin B = c / sin C
Prawo cosinusów
Łączy długości boków trójkąta z cosinusem jednego z jego kątów:
- c2 = a2 + b2 - 2ab cos C
- cos C = (a2 + b2 - c2) / (2ab)
Prawo tangensów
Mniej popularne, ale również użyteczne:
(a - b) / (a + b) = tg((A - B)/2) / tg((A + B)/2)
Trygonometria w szkole średniej
Kiedy uczniowie spotykają się z trygonometrią? Zazwyczaj podstawy trygonometrii są wprowadzane w pierwszej klasie liceum. Jest to wstęp do rozleglejszego działu matematyki, który rozwija się na kolejnych etapach edukacji.

| Etap edukacji | Klasa | Zakres trygonometrii |
|---|---|---|
| Liceum ogólnokształcące / Technikum | Klasa I | Podstawowe definicje funkcji trygonometrycznych w trójkącie prostokątnym (sin, cos, tg, ctg), wartości dla kątów ostrych, proste tożsamości (np. jedynka trygonometryczna), zastosowania w geometrii. |
| Liceum ogólnokształcące / Technikum | Klasa II-III | Rozszerzenie definicji na dowolny kąt, wykresy funkcji trygonometrycznych, tożsamości trygonometryczne (sumy, różnicy, podwojonego kąta), równania i nierówności trygonometryczne, prawa sinusów i cosinusów. |
Czy trygonometria jest trudna?
Wielu uczniów zadaje sobie to pytanie. Odpowiedź nie jest jednoznaczna, ponieważ postrzeganie trudności zależy od indywidualnych predyspozycji i stylu nauki. Dla niektórych trygonometria okazuje się łatwa i intuicyjna, dla innych stanowi spore wyzwanie. Ogólnie rzecz biorąc, trygonometria jest często uznawana za trudną, zwłaszcza gdy problemy są przedstawione w formie zadań tekstowych lub wymagają złożonych obliczeń.
Dlaczego trygonometria bywa trudna?
Istnieje kilka czynników, które przyczyniają się do postrzegania trygonometrii jako trudnej:
- Zapamiętywanie wzorów i wartości: Trygonometria wymaga znajomości wielu wzorów oraz wartości funkcji trygonometrycznych dla kluczowych kątów (np. 0°, 30°, 45°, 60°, 90°). Nauczenie się ich na pamięć może być uciążliwe. Obejmuje to również bardziej złożone wzory, takie jak prawa sinusów i cosinusów.
- Funkcje nieliniowe: W przeciwieństwie do prostych funkcji liniowych, funkcje trygonometryczne są nieliniowe, a ich wykresy mają charakterystyczne kształty (fale). Praca z nimi jest bardziej skomplikowana i wymaga innego podejścia niż w algebrze.
- Miary kątów (radiany/stopnie): Konieczność konwersji między stopniami a radianami może być źródłem pomyłek. Błąd w konwersji może prowadzić do całkowicie błędnych wyników. Ważne jest również odpowiednie ustawienie trybu kalkulatora.
- Współrzędne biegunowe i kartezjańskie: Trygonometria często wykorzystuje oba systemy współrzędnych. Uczniowie muszą mieć solidne podstawy w obu systemach i rozumieć, jak punkty są reprezentowane i jak dokonywać konwersji między nimi.
- Okrąg jednostkowy: Zrozumienie i umiejętność korzystania z okręgu jednostkowego (okręgu o promieniu 1) jest kluczowe w trygonometrii. Problemy z nim związane, zwłaszcza te wykraczające poza prosty okrąg jednostkowy, mogą być złożone.
- Długie i złożone obliczenia: Niektóre zadania trygonometryczne wymagają wielu kroków obliczeniowych, które mogą być długotrwałe i podatne na błędy. Dodatkowo, wspomniane konwersje (radiany/stopnie, współrzędne) zwiększają złożoność.
- Dziedzina i zbiór wartości funkcji: Określenie dziedziny (możliwych wartości wejściowych) i zbioru wartości (możliwych wyników) funkcji trygonometrycznych, a także ich funkcji odwrotnych, może być mylące ze względu na ich cykliczny charakter.
- Wizualizacja: Trygonometria w dużej mierze opiera się na wizualizacji i analizie graficznej. Umiejętność interpretacji wykresów i rysowania ich na podstawie obliczonych wartości jest kluczowa, ale nie dla każdego intuicyjna.
Jak poradzić sobie z trudnościami?
Mimo tych wyzwań, trygonometria jest do opanowania. Kluczem jest praktyka i uwaga na detale. Im więcej zadań rozwiążesz, tym łatwiej będzie Ci zapamiętywać wzory i rozumieć zależności. Z czasem trudności zaczną znikać, a trygonometria stanie się bardziej przyjemna.

Często zadawane pytania (FAQ)
- Czy trygonometria jest trudniejsza od statystyki?
- Ogólnie uważa się, że trygonometria jest łatwiejsza niż statystyka, ale trudniejsza niż podstawowa algebra i geometria.
- Czy trygonometria to to samo co geometria?
- Trygonometria to gałąź matematyki, która wyrosła z geometrii (konkretnie z badania trójkątów), ale jest odrębną dziedziną. Skupia się na zależnościach między kątami a bokami trójkątów, podczas gdy geometria zajmuje się ogólnymi właściwościami kształtów i przestrzeni.
- Czy trygonometria jest ważna?
- Tak, trygonometria jest niezwykle ważna. Ma szerokie zastosowanie w wielu dziedzinach, takich jak fizyka (opisywanie fal, ruchów oscylacyjnych), inżynieria (budownictwo, mechanika), nawigacja, astronomia, grafika komputerowa i wiele innych. Jest fundamentem dla bardziej zaawansowanych działów matematyki.
- Dlaczego trygonometria jest tak myląca?
- Myląca bywa ze względu na konieczność zapamiętywania wielu wzorów, nieliniowy charakter funkcji, konieczność konwersji jednostek i abstrakcyjne podejście do wizualizacji.
Podsumowanie
Tożsamości trygonometryczne są potężnym narzędziem w matematyce, umożliwiającym upraszczanie wyrażeń i rozwiązywanie problemów związanych z kątami i trójkątami. Choć na początku mogą wydawać się skomplikowane ze względu na mnogość wzorów i abstrakcyjne koncepcje, regularna praktyka i systematyczne podejście do nauki pozwalają na ich opanowanie. Zrozumienie trygonometrii otwiera drzwi do wielu innych dziedzin nauki i techniki, czyniąc ją jedną z kluczowych umiejętności w edukacji matematycznej.
Zainteresował Cię artykuł Tożsamości Trygonometryczne: Kompletny Przewodnik", "kategoria": "Matematyka? Zajrzyj też do kategorii Edukacja, znajdziesz tam więcej podobnych treści!
