01/04/2016
Zastanawiałeś się kiedyś, dlaczego pocieranie rąk powoduje ich rozgrzanie, albo co sprawia, że gotująca się zupa staje się gorąca? Odpowiedzi na te pytania leżą w sercu jednego z najbardziej fundamentalnych praw fizyki – pierwszej zasady termodynamiki. To ona wyjaśnia, jak energia w naszym świecie zmienia swoje formy, ale nigdy nie znika. W tym artykule zanurzymy się głęboko w to fascynujące zagadnienie, poznając jego definicję, kluczowe wzory, a także szereg praktycznych przykładów i zadań, które pomogą Ci zrozumieć i zastosować tę wiedzę w praktyce.

Czym jest Pierwsza Zasada Termodynamiki? Definicja i Implikacje
Pierwsza zasada termodynamiki, często nazywana zasadą zachowania energii dla procesów cieplnych, jest kamieniem węgielnym całej termodynamiki. Jej esencja jest prosta, ale ma dalekosiężne konsekwencje: energia wewnętrzna ciała (układu) może być zmieniona jedynie poprzez oddziaływanie z otoczeniem. Oddziaływania te przyjmują dwie główne formy: wykonanie pracy nad ciałem lub przekazanie mu ciepła. Mówiąc wprost, aby zmienić energię wewnętrzną czegoś, musisz albo wykonać nad tym pracę, albo dostarczyć mu ciepło.
Co wynika z Pierwszej Zasady Termodynamiki?
To podstawowe prawo pociąga za sobą kilka kluczowych wniosków, które są niezwykle ważne dla zrozumienia otaczającego nas świata:
- Zasada Zachowania Energii: W układzie zamkniętym, czyli takim, który nie wymienia masy z otoczeniem, energia nie ginie i nie powstaje z niczego. Może jedynie zmieniać swoją postać – z energii kinetycznej na potencjalną, z chemicznej na cieplną, itp. Pierwsza zasada termodynamiki jest więc niczym innym, jak sformułowaniem ogólnej zasady zachowania energii, zastosowanej do procesów termodynamicznych.
- Niemożliwość Perpetuum Mobile: Z pierwszej zasady wynika bezpośrednio, że nie jest możliwe zbudowanie maszyny, która mogłaby pracować ciągle bez pobierania energii z zewnątrz. Taki hipotetyczny silnik, zwany perpetuum mobile pierwszego rodzaju, naruszałby zasadę zachowania energii, tworząc energię "z niczego". Jest to fizycznie niemożliwe.
- Równoważność Pracy i Ciepła:Praca i ciepło (czyli cieplny przepływ energii) są równoważnymi sposobami przekazywania energii. Oznacza to, że zarówno wykonując pracę nad układem, jak i dostarczając mu ciepło, możemy zwiększyć jego energię wewnętrzną. Obie te wielkości są wyrażane w tych samych jednostkach, najczęściej w dżulach [J]. Ważne jest, aby pamiętać, że układ sam w sobie nie „posiada” pracy ani ciepła – są to jedynie sposoby przekazywania energii, a nie jej formy.
- Stała Energia w Układzie Izolowanym: Jeśli mamy do czynienia z układem zamkniętym, który dodatkowo nie wymienia ciepła z otoczeniem (jest izolowany adiabatycznie) i nie wykonuje pracy (ani nie jest nad nim wykonywana praca), to jego energia wewnętrzna pozostaje niezmieniona. Jest to idealny przypadek, rzadko spotykany w praktyce, ale ważny dla teorii.
- Wzrost Energii Wewnętrznej: Klasycznym przykładem jest sprężanie gazu w tłoku. Wykonana praca (W) oraz przekazane ciepło (Q) zwiększają energię wewnętrzną gazu, co objawia się na poziomie molekularnym zwiększeniem prędkości i energii kinetycznej jego cząsteczek, a na poziomie makroskopowym – wzrostem temperatury.
Wzór i Obliczenia: Klucz do Zrozumienia
Matematyczne sformułowanie pierwszej zasady termodynamiki jest niezwykle proste i potężne. Pozwala ono na ilościowe opisanie zmian energii w układzie.
Podstawowy Wzór
Pierwszą zasadę termodynamiki możemy zapisać wzorem:
ΔEw = W + Q
Gdzie:
ΔEw– zmiana energii wewnętrznej układu. Jest to różnica między końcową a początkową energią wewnętrzną. Jednostką jest dżul [J].W– praca wykonana NAD ciałem (układem). Jeśli praca jest wykonywana nad układem, W ma wartość dodatnią. Jeśli układ wykonuje pracę, W ma wartość ujemną (w tej konwencji). Jednostką jest dżul [J].Q– ciepło dostarczone DO ciała (układu). Jeśli ciepło jest dostarczane do układu, Q ma wartość dodatnią. Jeśli układ oddaje ciepło do otoczenia, Q ma wartość ujemną. Jednostką jest dżul [J].
Pamiętaj, że jednostką pracy i energii w układzie SI jest 1 dżul [J].
Konwencje Znaku Pracy i Ciepła
Istnieje alternatywna wersja wzoru, która może wprowadzać w błąd, jeśli nie zna się przyjętych konwencji. Niekiedy można spotkać wzór:
ΔEw = Q - W
W tej konwencji W oznacza pracę wykonaną PRZEZ ciało (układ). Jeśli układ wykonuje pracę (np. rozpręża się i pcha tłok), to W jest dodatnie, a energia wewnętrzna układu maleje (stąd znak minus). Jeśli praca jest wykonywana nad układem, W jest ujemne, co w efekcie daje Q - (-W) = Q + W, czyli wracamy do pierwotnej formy. Najważniejsze jest, aby konsekwentnie stosować jedną konwencję w obliczeniach. W tym artykule będziemy trzymać się konwencji ΔEw = W + Q, gdzie W to praca wykonana NAD układem.

Aby ułatwić zrozumienie różnic, przedstawiamy tabelę porównawczą:
| Konwencja | Wzór | Opis W | Kiedy wartość W jest dodatnia? |
|---|---|---|---|
| Praca wykonana NAD ciałem (fizyczna) | ΔEw = W + Q | W oznacza pracę wykonaną NAD układem. | Gdy otoczenie wykonuje pracę nad układem (np. sprężanie gazu). |
| Praca wykonana PRZEZ ciało (chemiczna/inżynierska) | ΔEw = Q - W | W oznacza pracę wykonaną PRZEZ układ. | Gdy układ wykonuje pracę na otoczeniu (np. rozprężanie gazu). |
Przykład Obliczeniowy
Rozwiążmy zadanie, aby utrwalić wzór:
Zadanie: Żelazko podczas prasowania dostarczyło tkaninie energii 10 J w wyniku tarcia (praca) oraz rozgrzało tkaninę energią 300 J (ciepło). Jak zmieniła się energia wewnętrzna tkaniny?
Rozwiązanie:
- Dane:
- Praca wykonana nad tkaniną (W) = 10 J (praca tarcia)
- Ciepło dostarczone do tkaniny (Q) = 300 J (ciepło rozgrzewające)
- Szukane: Zmiana energii wewnętrznej (ΔEw) = ?
- Wzór: Stosujemy pierwszą zasadę termodynamiki:
ΔEw = W + Q - Podstawienie i obliczenia:
ΔEw = 10 J + 300 JΔEw = 310 J
- Odpowiedź: Zmiana energii wewnętrznej jest wartością dodatnią, co oznacza, że energia wewnętrzna tkaniny wzrosła o 310 J. Tkanina stała się cieplejsza i jej cząsteczki poruszają się z większą energią.
Rozszerzony Wzór
W bardziej złożonych przypadkach, gdy ciało zmienia swoją pozycję lub prędkość, pierwsza zasada termodynamiki może być rozszerzona o zmiany energii kinetycznej (ΔEk) i potencjalnej (ΔEp) całego układu:
ΔEp + ΔEk + ΔEw = W + Q
Ten wzór jest używany, gdy rozważamy całościowy bilans energii dla układów, które nie są stacjonarne i mogą zmieniać swoje położenie w polu grawitacyjnym lub swoją prędkość.
Praktyczne Przykłady Pierwszej Zasady Termodynamiki
Pierwsza zasada termodynamiki nie jest tylko abstrakcyjnym wzorem – ona opisuje zjawiska, z którymi spotykamy się na co dzień. Oto kilka przykładów, które ilustrują jej działanie:
- Pocieranie rąk: W zimny dzień, pocierając o siebie zgrabiałe ręce, wykonujemy pracę mechaniczną. Ta praca jest zamieniana na energię wewnętrzną naszych dłoni, co skutkuje ich rozgrzaniem i podniesieniem temperatury. To bezpośrednie zastosowanie
ΔEw = W + Q, gdzieQjest bliskie zeru, aWjest dodatnie. - Podgrzewanie zupy: Kiedy stawiamy garnek z zupą na kuchence, dostarczamy jej ciepło. To ciepło zwiększa energię wewnętrzną zupy, co objawia się wzrostem jej temperatury. W tym przypadku
Wjest bliskie zeru, aQjest dodatnie. - Dodawanie lodu do napoju: Gdy wrzucamy kostki lodu do ciepłego napoju, następuje przepływ ciepła z cieplejszego napoju do zimniejszych kostek lodu. Ciepło zawsze przepływa spontanicznie od ciała o wyższej temperaturze do ciała o niższej temperaturze. Ten przepływ ciepła zmniejsza energię wewnętrzną oryginalnej części napoju i jego temperaturę. Warto zauważyć, że energia wewnętrzna zależy nie tylko od temperatury, ale także od ilości cząsteczek, więc po stopieniu lodu, łączna energia wewnętrzna całego napoju (woda + stopiony lód) będzie sumą energii początkowych składników.
- Pompowanie opony rowerowej: Szybko pompując oponę za pomocą pompki ręcznej, wykonujemy pracę nad powietrzem w pompce. Możemy zaobserwować, że pompka, a zwłaszcza jej metalowe elementy, nagrzewa się. Dzieje się tak, ponieważ praca wykonana nad gazem zwiększa jego energię wewnętrzną, a tym samym jego temperaturę. Część tego ciepła jest następnie przekazywana do ścianek pompki.
- Działanie lodówek i klimatyzatorów: Te urządzenia wykorzystują fakt, że sprężanie gazu (przez wykonanie pracy) powoduje wzrost jego temperatury i energii wewnętrznej, natomiast rozprężanie gazu powoduje spadek jego temperatury. Lodówki i klimatyzatory to w zasadzie pompy cieplne, które „przepompowują” ciepło z chłodniejszego miejsca do cieplejszego, zużywając do tego energię mechaniczną (pracę).
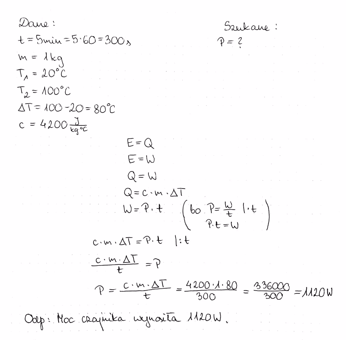
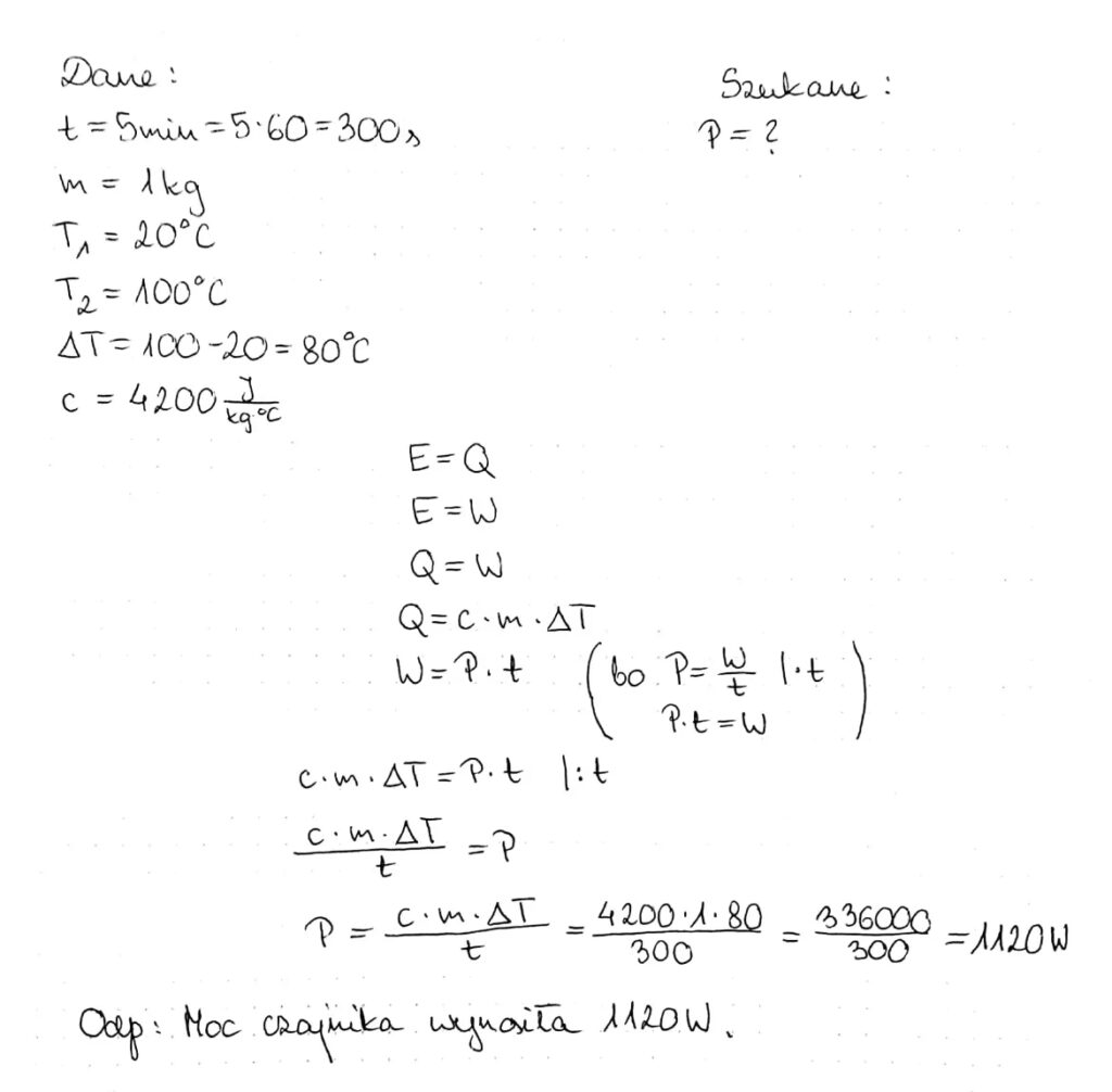
Metodyka Rozwiązywania Zadań Termodynamicznych
Rozwiązywanie zadań z termodynamiki wymaga nie tylko znajomości wzorów, ale także umiejętności interpretacji problemu i zastosowania odpowiednich konwencji. Poniżej przedstawiamy kolejne zadanie, które pomoże Ci w praktyce.
Zadanie: W których sytuacjach opisanych poniżej energia wewnętrzna zmieniła się w wyniku przepływu ciepła, a w których w wyniku wykonania pracy?
- Deska rozgrzała się podczas pocierania jej papierem ściernym.
- Kowal rozgrzał metalowy element, uderzając w niego młotem.
- Zdejmując sweter, poczuliśmy ciepło na plecach.
- Podchodząc do kaloryfera, poczuliśmy ciepło.
- Pompując oponę, rozgrzewamy pompkę.
Rozwiązanie: Aby rozwiązać to zadanie, musimy zidentyfikować, czy dominującym sposobem przekazania energii jest wykonanie pracy (mechaniczne oddziaływanie) czy przepływ ciepła (różnica temperatur).
- Sytuacja 1: Pocieranie papierem ściernym to przykład wykonania pracy mechanicznej nad deską. W wyniku tarcia, praca ta zamienia się w energię wewnętrzną, co powoduje rozgrzanie deski. Zatem energia wewnętrzna zmieniła się w wyniku wykonania pracy.
- Sytuacja 2: Uderzanie młotem w metalowy element to również wykonanie pracy mechanicznej. Energia kinetyczna młota jest zamieniana na energię wewnętrzną metalu, co powoduje jego rozgrzanie. Zatem energia wewnętrzna zmieniła się w wyniku wykonania pracy.
- Sytuacja 3: Poczucie ciepła po zdjęciu swetra jest wynikiem przepływu ciepła z naszego ciała do chłodniejszego otoczenia, gdy sweter, który działał jako izolator, został usunięty. To jest przepływ ciepła.
- Sytuacja 4: Poczucie ciepła przy kaloryferze to klasyczny przykład przepływu ciepła przez konwekcję i promieniowanie. Kaloryfer jest źródłem ciepła, które jest przekazywane do otoczenia. Zatem energia wewnętrzna powietrza wokół nas i naszej skóry zmieniła się w wyniku przepływu ciepła.
- Sytuacja 5: Jak już wcześniej wspomniano, pompowanie opony to proces, w którym wykonujemy pracę nad powietrzem w pompce. Ta praca zwiększa energię wewnętrzną powietrza, a w konsekwencji temperaturę pompki. Zatem energia wewnętrzna zmieniła się w wyniku wykonania pracy.
Odpowiedź zbiorcza: W sytuacjach 1, 2 i 5 energia wewnętrzna zmieniła się w wyniku wykonania pracy. W sytuacjach 3 i 4 energia wewnętrzna zmieniła się w wyniku przepływu ciepła.
Często Zadawane Pytania (FAQ)
Termodynamika, choć fascynująca, bywa przedmiotem wielu pytań. Poniżej odpowiadamy na najczęściej zadawane pytania, aby jeszcze lepiej wyjaśnić jej podstawy.

Czy termodynamika jest bardzo trudna?
Powszechnie wiadomo, że termodynamika może być trudnym przedmiotem dla wielu studentów, zwłaszcza na kierunkach inżynierskich i ścisłych. Jej trudność wynika z kilku czynników: konieczności zrozumienia abstrakcyjnych pojęć, stosowania wielu równań, a także korzystania z licznych tabel danych i wykresów. Jednakże, z odpowiednim podejściem i systematyczną nauką, termodynamika staje się zrozumiała i logiczna. Kluczem jest skupienie się na podstawach, takich jak pierwsza zasada termodynamiki, zrozumienie definicji i konwencji, a następnie regularne rozwiązywanie zadań. Nie zniechęcaj się początkowymi trudnościami – praktyka czyni mistrza!
Co robisz na zajęciach z termodynamiki?
Zajęcia z termodynamiki, zwłaszcza te interdyscyplinarne, wprowadzają studentów w fundamentalne pojęcia dotyczące energii i jej roli w otaczającym nas świecie. Kursy te często zaczynają się od omówienia różnych typów energii, takich jak energia potencjalna, kinetyczna, elektryczna, chemiczna, elektromagnetyczna, cieplna i wewnętrzna. Uczestnicy poznają drugą zasadę termodynamiki (choć w tym artykule skupiamy się na pierwszej), aparaturę Joule'a, procesy uwalniania i zużycia energii, a także skale energii i mocy. Kolejnym etapem jest często studium atomów i molekularnej struktury, co pozwala zrozumieć, jak energia na poziomie molekularnym stanowi podstawę niemal każdej naukowej dyskusji o zmianach chemicznych, fizycznych i biologicznych. W dalszej części kursu, studenci zagłębiają się w termochemię, czyli związek między energią, transferem ciepła i pracą, co prowadzi do zrozumienia energii w nowoczesnym kontekście i tego, jak chemia może przyczynić się do efektywności energetycznej. Poprzez lektury, filmy i studia przypadków, moduły te pomagają zrozumieć, jak energia przepływa przez struktury ekonomiczne, pogłębiając wiedzę na temat zużycia paliw kopalnych, konserwacji energii i ostatecznie, jak budować zrównoważoną przyszłość energetyczną.
Czym jest energia wewnętrzna?
Energia wewnętrzna (Ew lub U) to całkowita energia wszystkich cząsteczek tworzących dany układ. Składa się ona z sumy energii kinetycznej chaotycznego ruchu cząsteczek (translacyjnego, rotacyjnego, wibracyjnego) oraz energii potencjalnej oddziaływań międzycząsteczkowych. Energia wewnętrzna jest funkcją stanu układu, co oznacza, że jej wartość zależy tylko od aktualnego stanu układu (np. temperatury, objętości, ciśnienia, składu chemicznego), a nie od drogi, po której układ do tego stanu dotarł. Zmiana energii wewnętrznej (ΔEw) jest kluczowym elementem pierwszej zasady termodynamiki.
Jaka jest różnica między ciepłem a pracą w termodynamice?
Zarówno ciepło (Q), jak i praca (W) są sposobami przekazywania energii między układem a otoczeniem, ale różnią się mechanizmem. Ciepło to forma energii przekazywana na skutek różnicy temperatur między układem a otoczeniem. Jest to chaotyczny przepływ energii na poziomie molekularnym. Natomiast praca to forma energii przekazywana na skutek działania siły na pewnej drodze, czyli poprzez uporządkowany ruch. Przykładem pracy jest rozprężający się gaz, który pcha tłok, lub siła mięśni, która podnosi ciężar. Obie te formy przekazu energii mogą zmienić energię wewnętrzną układu.
Co to jest układ zamknięty w termodynamice?
Układ zamknięty to taki, który może wymieniać energię (w postaci ciepła lub pracy) z otoczeniem, ale nie wymienia masy. Oznacza to, że ilość substancji w układzie pozostaje stała. Przykładem układu zamkniętego może być gaz zamknięty w szczelnym cylindrze z ruchomym tłokiem. Gaz może być podgrzewany lub chłodzony (wymiana ciepła), a tłok może być przesuwany (wykonanie pracy), ale żadna masa gazu nie ucieka ani nie jest dodawana do cylindra. W kontekście pierwszej zasady termodynamiki, zrozumienie typu układu (zamknięty, otwarty, izolowany) jest kluczowe dla prawidłowego zastosowania wzorów.
Podsumowanie
Pierwsza zasada termodynamiki jest fundamentalnym prawem, które stanowi o zachowaniu energii w procesach cieplnych. Jej zrozumienie pozwala nie tylko rozwiązywać złożone problemy fizyczne, ale także interpretować codzienne zjawiska, od ogrzewania się rąk po działanie lodówki. Pamiętając, że energia wewnętrzna układu zmienia się tylko poprzez pracę wykonaną nad nim lub dostarczone ciepło, zyskujemy klucz do zrozumienia, jak energia przepływa i transformuje się w naszym wszechświecie. Mamy nadzieję, że ten artykuł rozjaśnił Ci podstawy termodynamiki i zachęcił do dalszej eksploracji tego fascynującego działu fizyki. Praktyka i konsekwencja w stosowaniu wzorów to droga do mistrzostwa!
Zainteresował Cię artykuł Pierwsza Zasada Termodynamiki: Przewodnik? Zajrzyj też do kategorii Fizyka, znajdziesz tam więcej podobnych treści!
