10/12/2017
Matematyka, choć czasem wydaje się abstrakcyjna, jest językiem, który opisuje świat wokół nas. Wiele sytuacji życiowych nie sprowadza się do prostych równości, gdzie coś jest równe czemuś innemu. Często mamy do czynienia z ograniczeniami, limitami, czy warunkami, które muszą być spełnione – wtedy z pomocą przychodzą nam nierówności. Zrozumienie ich jest kluczowe nie tylko na egzaminach, ale także w codziennym życiu, od planowania budżetu po zrozumienie ograniczeń prędkości.
W tym artykule zagłębimy się w świat nierówności, zaczynając od podstaw, które być może pamiętasz z wcześniejszych lat nauki, a kończąc na bardziej zaawansowanych zagadnieniach, takich jak rozwiązywanie nierówności zawierających liczby ujemne i prawidłowe przedstawianie ich zbiorów rozwiązań. Przygotuj się na kompleksową podróż, która rozwieje wszelkie wątpliwości! Nierówności to matematyczne wyrażenia, które pokazują, że jedna wartość jest większa, mniejsza, większa lub równa, lub mniejsza lub równa drugiej wartości. Używamy do tego specjalnych symboli: W przeciwieństwie do równań, które zazwyczaj mają jedno konkretne rozwiązanie (lub skończoną liczbę rozwiązań), nierówności często mają nieskończenie wiele rozwiązań. Na przykład, równanie To właśnie ta cecha sprawia, że nierówności są tak potężnym narzędziem do modelowania rzeczywistości, gdzie często mamy do czynienia z zakresami wartości, a nie pojedynczymi punktami. W klasie 6 uczniowie zaczynają swoją przygodę z nierównościami, ucząc się, że ich rozwiązanie polega na znalezieniu wszystkich wartości, które sprawiają, że nierówność jest prawdziwa. Często używa się do tego metody podstawiania – sprawdza się, czy dana wartość pasuje do nierówności. Na przykład, dla nierówności Kluczowym elementem na tym etapie jest również umiejętność graficznego przedstawiania rozwiązań na osi liczbowej. Dzięki temu wizualizuje się, że zbiór rozwiązań to nie pojedyncza liczba, lecz cały przedział. Jeśli W tym momencie, właściwości dodawania i mnożenia dla nierówności są bardzo podobne do tych dla równań, pod warunkiem, że operujemy na liczbach dodatnich. Dodawanie lub odejmowanie tej samej liczby po obu stronach nierówności nie zmienia jej kierunku. Mnożenie lub dzielenie przez tę samą liczbę dodatnią również nie zmienia kierunku nierówności. Prawdziwe wyzwanie i jednocześnie najbardziej fascynująca cecha nierówności pojawia się, gdy w grę wchodzą liczby ujemne. To właśnie tutaj właściwości nierówności znacząco różnią się od właściwości równań. Zrozumienie tej różnicy jest absolutnie fundamentalne dla poprawnego rozwiązywania złożonych nierówności. Przyjrzyjmy się temu w formie tabeli porównawczej: Dlaczego znak nierówności się odwraca przy mnożeniu lub dzieleniu przez liczbę ujemną? Pomyśl o prostej nierówności: Teraz, gdy rozumiemy fundamentalną różnicę, możemy zastosować te zasady do rozwiązywania bardziej złożonych nierówności. Proces jest bardzo podobny do rozwiązywania równań, z tą jedną, ale bardzo ważną, modyfikacją.
Czym są nierówności i dlaczego są ważne?
< (mniejsze niż)> (większe niż)≤ (mniejsze lub równe)≥ (większe lub równe)x + 2 = 5 ma tylko jedno rozwiązanie: x = 3. Ale nierówność x + 2 < 5 ma nieskończenie wiele rozwiązań: każda liczba mniejsza od 3 (np. 2, 0, -100, 2.99) spełnia tę nierówność.Podstawy rozwiązywania nierówności: Przypomnienie z klasy 6
x > 7, można sprawdzić, czy 8, 10, a nawet 7.00001 są rozwiązaniami (są!), a 5 czy 7 nie są.x > 7, na osi liczbowej zaznaczamy otwarte kółko na 7 (ponieważ 7 nie jest rozwiązaniem) i rysujemy strzałkę w prawo, symbolizującą wszystkie liczby większe od 7.Kluczowa różnica: Właściwości nierówności a właściwości równości
Operacja Równości (np. a = b) Nierówności (np. a < b) Dodawanie / Odejmowanie liczby c a ± c = b ± c
Znak równości pozostaje bez zmian.a ± c < b ± c
Znak nierówności pozostaje bez zmian.Mnożenie / Dzielenie przez liczbę DODATNIĄ c (c > 0) a ⋅ c = b ⋅ ca ÷ c = b ÷ c
Znak równości pozostaje bez zmian.a ⋅ c < b ⋅ ca ÷ c < b ÷ c
Znak nierówności pozostaje bez zmian.Mnożenie / Dzielenie przez liczbę UJEMNĄ c (c < 0) a ⋅ c = b ⋅ ca ÷ c = b ÷ c
Znak równości pozostaje bez zmian.a ⋅ c > b ⋅ ca ÷ c > b ÷ c
Znak nierówności ODWRA CA SIĘ!2 < 5. Jeśli pomnożymy obie strony przez -1, otrzymamy -2 i -5. Na osi liczbowej -2 jest większe niż -5! Aby nierówność pozostała prawdziwa, musimy odwrócić znak: -2 > -5. To jest klucz do sukcesu w rozwiązywaniu nierówności, które zawierają liczby ujemne.Jak rozwiązywać nierówności z liczbami ujemnymi?
Istniej\u0105 cztery podstawowe rodzaje nierówno\u015bci: mniejsze ni\u017c, wi\u0119ksze ni\u017c, mniejsze lub równe oraz wi\u0119ksze lub równe .
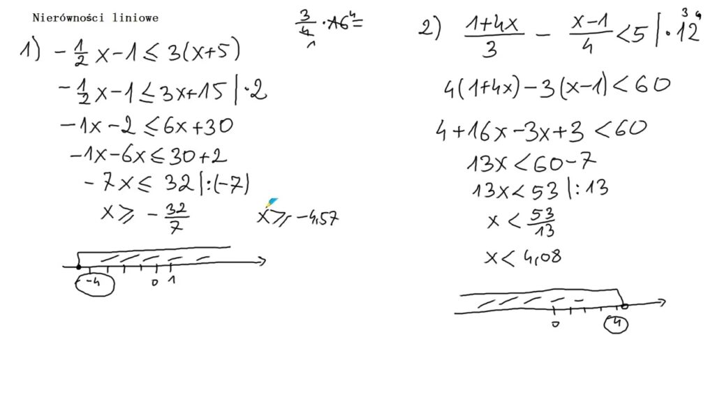
Rozważmy przykład, o którym mowa w informacjach: −2x − 4 < 5.
- Krok 1: Przenieś stałe na drugą stronę.
Dodajemy 4 do obu stron nierówności, aby "pozbyć się" -4 z lewej strony. Ponieważ dodajemy, znak nierówności pozostaje bez zmian.
−2x − 4 + 4 < 5 + 4−2x < 9 - Krok 2: Izoluj zmienną x.
Aby wyizolować
x, musimy podzielić obie strony przez -2. Tutaj właśnie musimy zastosować kluczową zasadę: ponieważ dzielimy przez liczbę ujemną (-2), musimy odwrócić znak nierówności.−2x ÷ (−2) > 9 ÷ (−2)x > −4.5
Zatem rozwiązaniem nierówności −2x − 4 < 5 są wszystkie liczby większe od -4.5. To jest zbiór nieskończonych rozwiązań, który możemy przedstawić graficznie.
Graficzne przedstawienie zbioru rozwiązań na osi liczbowej
Graficzne przedstawienie zbioru rozwiązań na osi liczbowej jest niezwykle pomocne, ponieważ pozwala nam wizualnie zrozumieć, jakie liczby spełniają daną nierówność. Aby to zrobić poprawnie, musimy pamiętać o kilku zasadach:
- Oś liczbowa: Narysuj prostą poziomą i oznacz na niej zero oraz kilka dodatnich i ujemnych liczb, aby nadać jej kontekst.
- Kółko otwarte vs. kółko zamknięte:
- Użyj kółka otwartego (niezamalowanego) na punkcie granicznym, jeśli nierówność używa symboli
<(mniejsze niż) lub>(większe niż). Oznacza to, że sam punkt graniczny nie jest częścią rozwiązania. - Użyj kółka zamkniętego (zamalowanego) na punkcie granicznym, jeśli nierówność używa symboli
≤(mniejsze lub równe) lub≥(większe lub równe). Oznacza to, że punkt graniczny jest częścią rozwiązania.
- Użyj kółka otwartego (niezamalowanego) na punkcie granicznym, jeśli nierówność używa symboli
- Kierunek strzałki/zacieniowania:
- Jeśli
x > alubx ≥ a, zacieniuj oś liczbową na prawo od punktua(w kierunku liczb większych). - Jeśli
x < alubx ≤ a, zacieniuj oś liczbową na lewo od punktua(w kierunku liczb mniejszych).
- Jeśli
Dla naszego przykładu x > −4.5:
Narysuj oś liczbową. Zlokalizuj punkt -4.5. Ponieważ mamy znak > (większe niż), rysujemy otwarte kółko na -4.5. Następnie rysujemy strzałkę lub cieniujemy oś w prawo od tego kółka, aby pokazać, że wszystkie liczby większe od -4.5 są rozwiązaniem.
Odczytywanie zbioru rozwiązań: Notacja przedziałowa
Oprócz graficznego przedstawienia, matematycy często używają notacji przedziałowej do zapisywania zbiorów rozwiązań nierówności. Jest to bardziej zwięzły i precyzyjny sposób zapisu. Używamy nawiasów okrągłych ( ) i kwadratowych [ ].
- Nawiasy okrągłe
( ): Oznaczają, że punkt końcowy nie jest włączony do przedziału. Używamy ich, gdy mamy do czynienia z symbolami<lub>, oraz zawsze przy nieskończoności (∞lub−∞), ponieważ nieskończoność nie jest konkretną liczbą i nie może być osiągnięta. - Nawiasy kwadratowe
[ ]: Oznaczają, że punkt końcowy jest włączony do przedziału. Używamy ich, gdy mamy do czynienia z symbolami≤lub≥.
Dla naszego przykładu x > −4.5, zbiór rozwiązań w notacji przedziałowej to (−4.5, ∞). Oznacza to, że x może być dowolną liczbą od -4.5 (ale nie -4.5) do plus nieskończoności.
Inne przykłady:
x ≤ 5:(−∞, 5](wszystkie liczby od minus nieskończoności do 5, włącznie z 5)−3 < x ≤ 7:(−3, 7](wszystkie liczby większe od -3 i mniejsze lub równe 7)
Najczęstsze błędy i jak ich unikać
Podczas rozwiązywania nierówności, szczególnie tych bardziej złożonych, łatwo popełnić błędy. Oto najczęstsze z nich i porady, jak ich unikać:
- Zapominanie o odwróceniu znaku nierówności: To zdecydowanie najczęstszy błąd. Zawsze, gdy mnożysz lub dzielisz obie strony nierówności przez liczbę ujemną, natychmiast odwróć znak nierówności. Warto sobie to przypominać, zapisując małą notatkę obok wykonywanych działań.
- Błędne interpretowanie kółek na osi liczbowej: Pamiętaj o różnicy między
<, >(otwarte kółko, punkt nie należy do rozwiązania) a≤, ≥(zamknięte kółko, punkt należy do rozwiązania). Błędne zaznaczenie kółka może prowadzić do nieprawidłowego zapisu przedziału. - Niewłaściwe użycie nawiasów w notacji przedziałowej: Zawsze stosuj nawiasy okrągłe dla nieskończoności i dla punktów, które nie są włączone (
<, >). Nawiasy kwadratowe tylko dla punktów włączonych (≤, ≥). - Błędy rachunkowe: Nierówności, podobnie jak równania, wymagają precyzji w obliczeniach. Podwójne sprawdzenie dodawania, odejmowania, mnożenia i dzielenia może zaoszczędzić wiele frustracji.
- Nieprawidłowe przenoszenie wyrazów: Pamiętaj, że przenoszenie wyrazu na drugą stronę nierówności jest równoznaczne z dodaniem lub odjęciem tego wyrazu po obu stronach. Znak wyrazu zmienia się na przeciwny.
Zastosowania nierówności w życiu codziennym
Choć nierówności mogą wydawać się abstrakcyjnym tematem z podręcznika, mają one liczne zastosowania w realnym świecie:
- Finanse i budżetowanie: Jeśli masz budżet 500 zł na zakupy, to suma twoich wydatków musi być mniejsza lub równa 500 zł (
wydatki ≤ 500). - Inżynieria i projektowanie: Wytrzymałość materiałów, maksymalne obciążenie konstrukcji, czy zakres temperatur pracy urządzeń – wszystko to jest opisywane za pomocą nierówności.
- Medycyna: Dawkowanie leków często ma dolne i górne granice, aby być skutecznym i bezpiecznym dla pacjenta (np.
minimalna dawka ≤ dawka ≤ maksymalna dawka). - Logistyka i transport: Ograniczenia prędkości (
prędkość ≤ limit), maksymalna ładowność pojazdów, czy optymalne trasy dostaw często opierają się na modelach nierównościowych. - Gospodarka: Popyt i podaż, zyski i straty, progi podatkowe – te wszystkie zjawiska są często modelowane za pomocą nierówności.
Zrozumienie nierówności to zatem nie tylko umiejętność rozwiązywania zadań, ale także zdolność do analizowania i interpretowania warunków i ograniczeń, z którymi spotykamy się na co dzień.
Pytania i odpowiedzi (FAQ)
- Czy nierówności zawsze mają nieskończenie wiele rozwiązań?
- W większości przypadków tak, nierówności liniowe (takie jak te omawiane w artykule) mają nieskończenie wiele rozwiązań, które tworzą przedział na osi liczbowej. Istnieją jednak specjalne przypadki, np. nierówności kwadratowe, które mogą mieć skończoną liczbę rozwiązań (np. punktów) lub nie mieć ich wcale (np. brak rzeczywistych rozwiązań), ale to już bardziej zaawansowany temat.
- Kiedy używamy kółka otwartego, a kiedy zamkniętego na osi liczbowej?
- Używamy kółka otwartego (niezamalowanego) dla nierówności ostrych (
<,>), co oznacza, że punkt graniczny nie jest rozwiązaniem. Używamy kółka zamkniętego (zamalowanego) dla nierówności nieostrych (≤,≥), co oznacza, że punkt graniczny jest częścią rozwiązania. - Dlaczego znak nierówności się odwraca, gdy mnożymy lub dzielimy przez liczbę ujemną?
- Odwrócenie znaku jest konieczne, aby nierówność pozostała prawdziwa. Mnożenie lub dzielenie przez liczbę ujemną zmienia "kierunek" liczb na osi liczbowej. Na przykład, jeśli
2 < 5, to po pomnożeniu przez -1, liczby stają się -2 i -5. Na osi liczbowej -2 jest większe od -5, więc musimy odwrócić znak na>, aby nierówność-2 > -5była prawdziwa. - Czy mogę pomnożyć obie strony nierówności przez zero?
- Nie. Mnożenie obu stron nierówności przez zero zawsze da
0 < 0lub0 > 0, co jest fałszem, lub0 ≤ 0lub0 ≥ 0, co jest prawdą, ale w każdym przypadku powoduje utratę informacji o zmiennej i uniemożliwia znalezienie rozwiązania. Dzielenie przez zero jest z kolei operacją niedozwoloną w matematyce.
Rozwiązywanie nierówności to kluczowa umiejętność w matematyce, która rozszerza nasze rozumienie relacji między liczbami poza prostą równość. Pamiętając o kluczowej zasadzie odwracania znaku przy operacjach z liczbami ujemnymi, oraz o prawidłowym przedstawianiu zbiorów rozwiązań na osi liczbowej i w notacji przedziałowej, będziesz w stanie z łatwością radzić sobie z większością problemów z nierównościami. Praktyka czyni mistrza – im więcej zadań rozwiążesz, tym pewniej poczujesz się w tym obszarze matematyki!
Zainteresował Cię artykuł Nierówności: Kompletny przewodnik po rozwiązywaniu? Zajrzyj też do kategorii Matematyka, znajdziesz tam więcej podobnych treści!
