16/01/2023
W świecie matematyki i fizyki wektory stanowią podstawowe narzędzie do opisu wielkości, które posiadają zarówno wartość, jak i kierunek. Od sił działających na obiekty, przez prędkości, aż po pola magnetyczne – wszędzie tam, gdzie kierunek ma znaczenie, pojawiają się wektory. Jedną z najważniejszych operacji, którą możemy wykonać na wektorach, jest iloczyn skalarny, często nazywany również iloczynem punktowym. Chociaż nazwa może brzmieć nieco tajemniczo, iloczyn skalarny to potężne narzędzie, które pozwala nam zrozumieć wzajemne położenie wektorów, obliczyć kąt między nimi, a nawet określić, czy są prostopadłe. W przeciwieństwie do innych operacji na wektorach, takich jak dodawanie czy odejmowanie, których wynikiem jest kolejny wektor, iloczyn skalarny zawsze daje nam pojedynczą liczbę – skalar. To właśnie ta właściwość sprawia, że jest on tak przydatny w wielu dziedzinach nauki i inżynierii. Zagłębmy się w jego definicję, metody obliczania i praktyczne zastosowania, aby w pełni opanować to fascynujące pojęcie.

Zrozumienie iloczynu skalarnego jest kluczowe nie tylko dla studentów matematyki i fizyki, ale także dla każdego, kto chce zgłębić podstawy mechaniki, elektrotechniki czy nawet grafiki komputerowej. Pozwala on bowiem na uproszczenie wielu skomplikowanych problemów, redukując je do prostych operacji arytmetycznych. Czy zastanawiałeś się kiedyś, jak sprawdzić, czy dwie siły działają na siebie pod kątem prostym, czy też jak obliczyć pracę wykonaną przez siłę, która nie działa idealnie w kierunku ruchu? Iloczyn skalarny dostarcza odpowiedzi na te i wiele innych pytań, czyniąc go niezastąpionym elementem w arsenale każdego inżyniera i naukowca.
Czym jest iloczyn skalarny? Definicja i podstawy
Iloczyn skalarny, znany również jako iloczyn punktowy, to operacja dwuargumentowa na dwóch wektorach, której wynikiem jest liczba rzeczywista (skalar), a nie inny wektor. Jest to fundamentalne pojęcie w algebrze liniowej i geometrii analitycznej, które odgrywa kluczową rolę w opisie wzajemnych relacji między wektorami. Definicja iloczynu skalarnego może być przedstawiona na dwa główne sposoby: algebraicznie (za pomocą współrzędnych wektorów) i geometrycznie (za pomocą długości wektorów i kąta między nimi). Oba podejścia są ze sobą ściśle powiązane i prowadzą do tych samych wniosków, ale każde z nich oferuje inną perspektywę na to pojęcie.
Formalnie, iloczyn skalarny jest funkcją s: V × V → R, gdzie V to przestrzeń wektorowa, a R to zbiór liczb rzeczywistych. Aby funkcja ta mogła być nazywana iloczynem skalarnym, musi spełniać szereg warunków, które gwarantują jej spójność i użyteczność w matematyce:
- Liniowość: Dla dowolnych wektorów u, v, w należących do przestrzeni
Vi dowolnych skalarówα,βnależących doR, zachodzi równość:s(αu + βv, w) = αs(u, w) + βs(v, w). Ta właściwość oznacza, że iloczyn skalarny jest liniowy względem pierwszego argumentu (i dzięki symetrii, również względem drugiego). Innymi słowy, możemy rozdzielać sumy i wyciągać skalary przed iloczyn. - Symetryczność: Dla dowolnych wektorów u, v należących do przestrzeni
V, zachodzi równość:s(u, v) = s(v, u). Oznacza to, że kolejność wektorów w iloczynie skalarnym nie ma znaczenia – wynik jest zawsze taki sam. - Dodatnia określoność: Dla każdego wektora v należącego do przestrzeni
V, iloczyn skalarnys(v, v)jest większy lub równy zeru (s(v, v) ≥ 0). Ponadto,s(v, v) = 0wtedy i tylko wtedy, gdy wektor v jest wektorem zerowym (v = 0V). Ta właściwość jest kluczowa, ponieważ pozwala nam zdefiniować długość (normę) wektora jako pierwiastek kwadratowy z iloczynu skalarnego wektora przez samego siebie.
Te trzy właściwości są fundamentem, na którym opiera się cała teoria iloczynu skalarnego, zapewniając mu spójność matematyczną i szerokie zastosowania.
Jak obliczyć iloczyn skalarny wektorów?
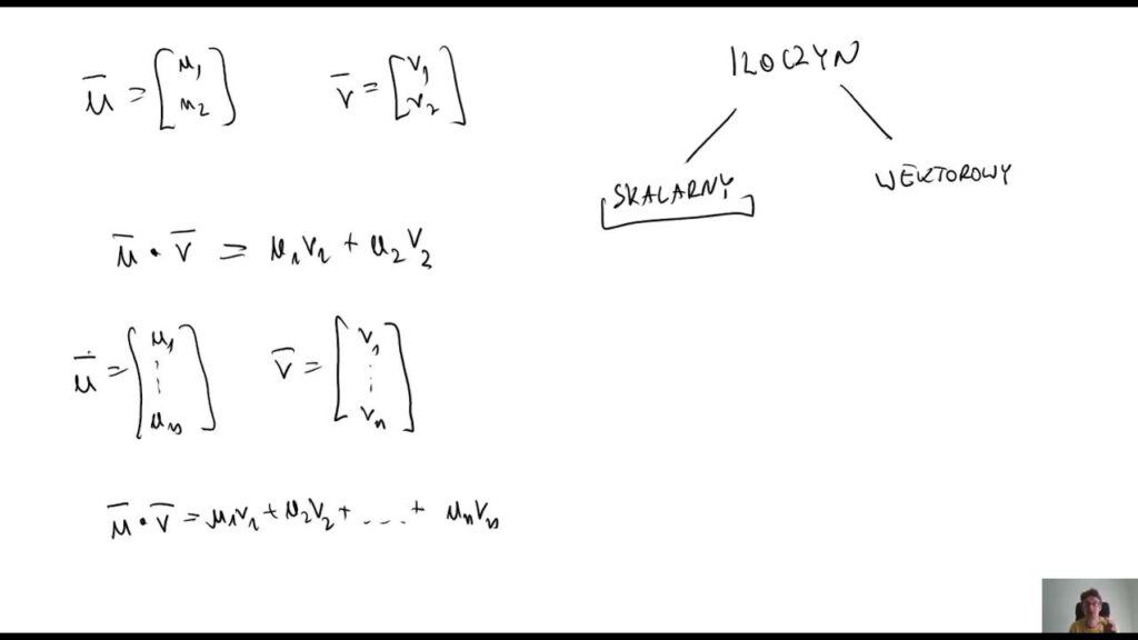
Obliczanie iloczynu skalarnego wektorów jest procesem prostym, o ile znamy ich współrzędne. Najczęściej spotykaną metodą jest metoda algebraiczna, która polega na sumowaniu iloczynów odpowiednich współrzędnych wektorów. Wyobraźmy sobie dwa wektory a i b w przestrzeni n-wymiarowej:
- a = [a1, a2, ..., an]
- b = [b1, b2, ..., bn]
Iloczyn skalarny tych wektorów, oznaczany jako a ⋅ b lub (a, b), obliczamy ze wzoru:
a ⋅ b = a1 ⋅ b1 + a2 ⋅ b2 + ... + an ⋅ bn = Σk=1n ak ⋅ bk
Mówiąc prościej, aby obliczyć iloczyn skalarny, należy pomnożyć pierwszą współrzędną pierwszego wektora przez pierwszą współrzędną drugiego wektora, drugą współrzędną pierwszego wektora przez drugą współrzędną drugiego wektora i tak dalej, aż do ostatniej współrzędnej. Następnie wszystkie te iloczyny należy do siebie dodać. Wynikiem zawsze będzie pojedyncza liczba – skalar.
Przykład obliczeniowy:
Obliczmy iloczyn skalarny wektorów a = [1, 0, -3] i b = [3, 10, 1] w przestrzeni trójwymiarowej.
Korzystając z definicji iloczynu skalarnego:
a ⋅ b = [1, 0, -3] ⋅ [3, 10, 1]
Mnożymy odpowiednie współrzędne i sumujemy wyniki:
= (1 ⋅ 3) + (0 ⋅ 10) + (-3 ⋅ 1)
Wykonujemy mnożenia:
= 3 + 0 + (-3)
Dodajemy wyniki:
= 3 + 0 - 3 = 0
Wynik iloczynu skalarnego wektorów a i b wynosi 0. Jest to bardzo ważny wynik, który ma konkretną interpretację geometryczną, o której powiemy w następnej sekcji.
Ta metoda jest niezwykle efektywna i łatwa do zastosowania, niezależnie od wymiaru przestrzeni, w której operujemy. Jest to podstawowa umiejętność, którą każdy student i praktykujący naukowiec powinien opanować.
Interpretacja geometryczna iloczynu skalarnego
Iloczyn skalarny ma również głęboką interpretację geometryczną, która pozwala nam zrozumieć jego sens w kontekście długości wektorów i kąta między nimi. Ta interpretacja jest szczególnie przydatna, gdy chcemy wizualizować relacje między wektorami lub rozwiązywać problemy geometryczne.
Iloczyn skalarny wektorów A i B można również zdefiniować za pomocą ich długości (modułów) i cosinusa kąta θ między nimi:
A ⋅ B = |A| ⋅ |B| ⋅ cos(θ)
Gdzie:
|A|to długość (moduł) wektora A.|B|to długość (moduł) wektora B.θto kąt między wektorami A i B (przy założeniu, że wektory są umieszczone początkiem w tym samym punkcie).
Ta formuła jest niezwykle użyteczna, ponieważ pozwala nam obliczyć kąt między dwoma wektorami, jeśli znamy ich współrzędne (a zatem możemy obliczyć ich długości i iloczyn skalarny algebraicznie):
cos(θ) = (A ⋅ B) / (|A| ⋅ |B|)
Jeśli cosinus kąta θ jest znany, możemy znaleźć sam kąt θ za pomocą funkcji arccos (arcus cosinus).
Interpretacja przez rzutowanie
Inną, bardzo intuicyjną interpretacją iloczynu skalarnego jest jego związek z rzutowaniem jednego wektora na drugi. Iloczyn skalarny można interpretować jako iloczyn długości jednego wektora i długości rzutu drugiego wektora na kierunek wyznaczony przez pierwszy wektor. Mówiąc obrazowo, jeśli mamy wektor siły i wektor przemieszczenia, iloczyn skalarny powie nam, jak bardzo siła działa w kierunku przemieszczenia. Jest to kluczowe pojęcie w fizyce, zwłaszcza przy obliczaniu pracy.
Na przykład, jeśli mamy wektor A i wektor B, iloczyn skalarny A ⋅ B jest równy długości wektora A pomnożonej przez długość rzutu wektora B na kierunek wektora A. Ten rzut jest nazywany składową wektora B w kierunku wektora A. Jest to niesamowicie przydatne w analizie sił, pól i innych wielkości wektorowych, gdzie interesuje nas tylko ta część wielkości, która działa w określonym kierunku.
Szczególne przypadki iloczynu skalarnego
Warto zwrócić uwagę na kilka szczególnych przypadków, które wynikają z geometrycznej definicji iloczynu skalarnego i są niezwykle ważne w praktyce:
Wektory prostopadłe (ortogonalne)
Jeżeli iloczyn skalarny dwóch niezerowych wektorów a i b jest równy zero (a ⋅ b = 0), oznacza to, że wektory te są do siebie prostopadłe (ortogonalne). Dlaczego? Ponieważ cos(90°) = 0. Jeśli kąt między wektorami wynosi 90 stopni (π/2 radianów), to ich iloczyn skalarny musi być równy zeru, niezależnie od ich długości (o ile żaden z wektorów nie jest wektorem zerowym).
W naszym przykładzie, gdzie a ⋅ b = 0 dla a = [1, 0, -3] i b = [3, 10, 1], możemy stwierdzić, że wektory te są prostopadłe. Jest to szybki i efektywny sposób na sprawdzenie ortogonalności dwóch wektorów, bez konieczności rysowania ich czy używania skomplikowanych wzorów trygonometrycznych.
Wektory równoległe
Jeśli dwa wektory A i B są równoległe, oznacza to, że kąt między nimi wynosi 0 stopni (lub 180 stopni, jeśli są antyrównoległe). W takim przypadku cos(0°) = 1. Zatem iloczyn skalarny równoległych wektorów wynosi po prostu iloczyn ich długości:
A ⋅ B = |A| ⋅ |B|
Jeżeli wektory są antyrównoległe (tzn. mają ten sam kierunek, ale przeciwne zwroty), kąt między nimi wynosi 180 stopni (π radianów). Wtedy cos(180°) = -1, a iloczyn skalarny przyjmuje wartość:
A ⋅ B = -|A| ⋅ |B|
Iloczyn skalarny wektora przez samego siebie
Kiedy wektor jest mnożony skalarnie przez samego siebie (A ⋅ A), kąt między nim a samym sobą wynosi 0 stopni. Wtedy cos(0°) = 1. Zatem:
A ⋅ A = |A| ⋅ |A| ⋅ cos(0°) = |A|2
Iloczyn skalarny wektora przez samego siebie daje w wyniku kwadrat jego długości. Jest to bardzo przydatna właściwość do obliczania długości wektorów: |A| = √(A ⋅ A).
Iloczyn skalarny z wektorem zerowym
Iloczyn skalarny dowolnego wektora A z wektorem zerowym 0 zawsze wynosi zero:
A ⋅ 0 = 0
Dzieje się tak, ponieważ długość wektora zerowego wynosi zero, a dowolna liczba pomnożona przez zero daje zero. Przyjmuje się, że wektor zerowy jest prostopadły do każdego wektora, co jest spójne z definicją iloczynu skalarnego równego zero.
Zrozumienie tych szczególnych przypadków pozwala na szybką analizę relacji między wektorami i jest nieocenione w rozwiązywaniu problemów z geometrii analitycznej i fizyki.
Zastosowania iloczynu skalarnego w praktyce
Iloczyn skalarny jest nie tylko abstrakcyjnym pojęciem matematycznym, ale także potężnym narzędziem o szerokim spektrum zastosowań w różnych dziedzinach nauki i techniki. Jego zdolność do redukowania dwóch wektorów do pojedynczej liczby – skalara – sprawia, że jest niezwykle użyteczny w modelowaniu i analizie rzeczywistych zjawisk.

Fizyka: Obliczanie pracy mechanicznej
Jednym z najbardziej klasycznych zastosowań iloczynu skalarnego jest obliczanie pracy mechanicznej. W fizyce praca (W) wykonana przez stałą siłę (F) działającą na obiekt, który przemieszcza się o wektor przemieszczenia (d), jest definiowana jako iloczyn skalarny tych dwóch wektorów:
W = F ⋅ d = |F| ⋅ |d| ⋅ cos(θ)
Gdzie θ to kąt między kierunkiem siły a kierunkiem przemieszczenia. Ta formuła doskonale ilustruje, jak iloczyn skalarny pozwala nam uwzględnić tylko tę część siły, która przyczynia się do ruchu w danym kierunku. Jeśli siła działa prostopadle do kierunku przemieszczenia (np. siła normalna), praca wykonana przez tę siłę wynosi zero, co jest zgodne z intuicją i faktem, że cos(90°) = 0.
Geometria analityczna: Kąt między wektorami i prostopadłość
Jak już wspomniano, iloczyn skalarny jest fundamentalnym narzędziem do obliczania kąta między dwoma wektorami. Jest to niezwykle przydatne w geometrii analitycznej, np. do sprawdzania, czy dwie linie lub płaszczyzny są prostopadłe, czy też do określania orientacji obiektów w przestrzeni. W informatyce, zwłaszcza w grafice komputerowej i robotyce, iloczyn skalarny jest wykorzystywany do obliczania oświetlenia, wykrywania kolizji czy sterowania ruchem obiektów, gdzie precyzyjne określenie kątów jest kluczowe.
Projekcje wektorów
Iloczyn skalarny jest również podstawą do obliczania rzutu (projekcji) jednego wektora na drugi. Rzut wektora A na wektor B to wektor, który jest składową wektora A w kierunku wektora B. Długość tego rzutu jest równa (|A| ⋅ cos(θ)), co można wyrazić za pomocą iloczynu skalarnego jako (A ⋅ B) / |B|. Projekcje wektorów są szeroko stosowane w fizyce (np. rozkładanie sił na składowe), inżynierii (np. w analizie naprężeń) oraz w algorytmach uczenia maszynowego (np. w analizie składowych głównych).
Inne zastosowania
- Maszyny uczące i analiza danych: W algorytmach uczenia maszynowego, iloczyn skalarny jest często używany do mierzenia podobieństwa między wektorami cech (np. podobieństwa dokumentów tekstowych, obrazów). Wysoki iloczyn skalarny (lub cosinus kąta) oznacza duże podobieństwo.
- Inżynieria elektryczna: W analizie obwodów prądu przemiennego, iloczyn skalarny jest używany do obliczania mocy czynnej, która jest częścią mocy całkowitej faktycznie wykonującej pracę.
- Mechanika płynów: Iloczyn skalarny jest używany do obliczania strumienia płynu przez powierzchnię, co jest kluczowe w analizie przepływów.
- Kryptografia: W niektórych algorytmach kryptograficznych, zwłaszcza tych opartych na geometrii, iloczyn skalarny może być wykorzystywany do tworzenia bezpiecznych systemów.
Jak widać, iloczyn skalarny jest wszechstronnym narzędziem, które wykracza daleko poza salę wykładową, znajdując praktyczne zastosowanie w wielu dziedzinach, od podstawowych zasad fizyki po zaawansowane technologie.
Iloczyn skalarny a inne operacje na wektorach
Chociaż iloczyn skalarny jest unikalny ze względu na swój skalarny wynik, warto umieścić go w kontekście innych podstawowych operacji na wektorach, aby lepiej zrozumieć jego rolę i odróżnić go od podobnie brzmiących pojęć.
Iloczyn skalarny vs. Mnożenie wektora przez skalar
Często mylona z iloczynem skalarnym jest operacja mnożenia wektora przez skalar. W tym przypadku, wektor a = [a1, a2, ..., an] jest mnożony przez pojedynczą liczbę (skalar) c. Wynikiem tej operacji jest nowy wektor, którego każda współrzędna została pomnożona przez ten skalar:
c ⋅ a = [c ⋅ a1, c ⋅ a2, ..., c ⋅ an]
Wektor wynikowy ma ten sam kierunek co wektor początkowy (lub przeciwny, jeśli skalar jest ujemny), ale jego długość jest skalowana o wartość bezwzględną skalara. Kluczowa różnica polega na tym, że mnożenie wektora przez skalar daje wektor, natomiast iloczyn skalarny dwóch wektorów daje skalar.
Iloczyn skalarny vs. Iloczyn wektorowy (produkt krzyżowy)
W przestrzeni trójwymiarowej istnieje inna ważna operacja na wektorach, nazywana iloczynem wektorowym (lub produktem krzyżowym), oznaczana jako a × b. W przeciwieństwie do iloczynu skalarnego, wynikiem iloczynu wektorowego dwóch wektorów jest inny wektor, który jest prostopadły do płaszczyzny wyznaczonej przez wektory wyjściowe. Jego długość jest równa iloczynowi długości wektorów pomnożonemu przez sinus kąta między nimi (|a × b| = |a| ⋅ |b| ⋅ sin(θ)), a jego kierunek jest określany regułą prawej dłoni. Iloczyn wektorowy jest używany do obliczania momentu siły, siły Lorentza czy pola powierzchni równoległoboku rozpiętego na wektorach, czyli tam, gdzie interesuje nas wielkość wektorowa prostopadła do płaszczyzny działania.
Poniższa tabela podsumowuje kluczowe różnice:
| Cecha | Iloczyn Skalarny (Punktowy) | Mnożenie Wektora przez Skalar | Iloczyn Wektorowy (Krzyżowy) |
|---|---|---|---|
| Wejście | Dwa wektory | Jeden wektor i jeden skalar | Dwa wektory (tylko w 3D) |
| Wyjście | Skalar (liczba) | Wektor | Wektor |
| Symbol | ⋅ (kropka) | ⋅ lub brak (np. ca) | × (krzyżyk) |
| Interpretacja | Miara zgodności kierunków, projekcja, praca | Skalowanie długości wektora | Wektor prostopadły, moment siły, pole powierzchni |
| Kiedy zero? | Wektory prostopadłe | Gdy skalar lub wektor jest zerowy | Wektory równoległe (lub jeden zerowy) |
Zrozumienie tych różnic jest kluczowe dla prawidłowego stosowania operacji wektorowych w problemach fizycznych i matematycznych. Każda z tych operacji ma swoje specyficzne zastosowania i dostarcza innych rodzajów informacji o wektorach i ich wzajemnych relacjach.
Najczęściej zadawane pytania (FAQ)
1. Czy iloczyn skalarny może być ujemny?
Tak, iloczyn skalarny może być ujemny. Dzieje się tak, gdy kąt θ między dwoma wektorami jest rozwarty, czyli mieści się w przedziale (90°, 180°]. W tym zakresie cosinus kąta θ jest ujemny, a ponieważ długości wektorów są zawsze dodatnie, iloczyn skalarny również będzie ujemny. Ujemny iloczyn skalarny wskazuje, że wektory mają ogólnie przeciwne kierunki, a jeden z nich działa 'pod prąd' drugiego.
2. Co oznacza, jeśli iloczyn skalarny wynosi zero?
Jeśli iloczyn skalarny dwóch niezerowych wektorów wynosi zero, oznacza to, że wektory te są do siebie prostopadłe (ortogonalne). Jest to bezpośredni wynik faktu, że cosinus kąta 90 stopni wynosi zero. Jest to bardzo szybki i wygodny sposób na sprawdzenie prostopadłości w geometrii analitycznej i fizyce.
3. Czy iloczyn skalarny zależy od kolejności wektorów?
Nie, iloczyn skalarny jest przemienny (symetryczny). Oznacza to, że kolejność wektorów nie ma znaczenia dla wyniku. Dla dowolnych wektorów a i b, a ⋅ b = b ⋅ a. Ta właściwość wynika z definicji algebraicznej (mnożenie liczb rzeczywistych jest przemienne) oraz geometrycznej (kąt między a i b jest taki sam jak między b i a).
4. Jakie są jednostki iloczynu skalarnego?
Jednostka iloczynu skalarnego zależy od jednostek wektorów, które są mnożone. Jeśli wektory reprezentują wielkości fizyczne, jednostki ich współrzędnych są mnożone, a następnie sumowane. Na przykład, jeśli wektor siły jest w Newtonach [N], a wektor przemieszczenia w metrach [m], to iloczyn skalarny (praca) będzie miał jednostkę Newtonometry [Nm], czyli Dżule [J]. Jeśli wektory są bezwymiarowe (np. w czystej matematyce), wynik iloczynu skalarnego również będzie bezwymiarowy.
5. Czy iloczyn skalarny jest definiowany tylko dla wektorów w 2D i 3D?
Nie, definicja iloczynu skalarnego oparta na sumowaniu iloczynów współrzędnych (Σ ak ⋅ bk) jest ogólna i może być stosowana do wektorów w dowolnej liczbie wymiarów (n-wymiarowej przestrzeni euklidesowej). Jest to jedno z jego kluczowych zalet, pozwalające na rozszerzenie pojęć geometrycznych na przestrzenie o wysokiej wymiarowości, co ma zastosowanie np. w statystyce i uczeniu maszynowym.
6. Czym różni się iloczyn skalarny od długości wektora?
Długość (moduł) wektora to pojedyncza, nieujemna liczba, która opisuje jego wielkość. Jest ona obliczana jako pierwiastek kwadratowy z sumy kwadratów jego współrzędnych (dla wektora a = [a1, a2, a3], |a| = √(a12 + a22 + a32)). Iloczyn skalarny, z drugiej strony, jest operacją na dwóch wektorach, która daje skalar. Co ważne, długość wektora może być zdefiniowana za pomocą iloczynu skalarnego: |a| = √(a ⋅ a), co pokazuje ich ścisłe powiązanie.
Podsumowanie
Iloczyn skalarny, choć na pierwszy rzut oka może wydawać się skomplikowany, jest jednym z najbardziej fundamentalnych i użytecznych pojęć w matematyce i fizyce. Jego zdolność do przekształcania pary wektorów w pojedynczą liczbę – skalar – otwiera drzwi do analizy relacji przestrzennych między wielkościami wektorowymi, takich jak kąt między nimi czy ich prostopadłość. Od precyzyjnego obliczania pracy mechanicznej, przez zrozumienie rzutów wektorów, aż po zaawansowane algorytmy w grafice komputerowej i uczeniu maszynowym, iloczyn skalarny jest wszechobecnym narzędziem, które pozwala nam modelować i rozwiązywać problemy w świecie rzeczywistym.
Pamiętaj, że kluczem do opanowania iloczynu skalarnego jest zrozumienie zarówno jego definicji algebraicznej (mnożenie i sumowanie współrzędnych), jak i geometrycznej (długości wektorów i cosinus kąta). Oba podejścia wzajemnie się uzupełniają, dostarczając pełnego obrazu tego, czym jest iloczyn skalarny i dlaczego jest tak istotny. Ćwiczenie obliczeń i analizowanie konkretnych przypadków, takich jak wektory prostopadłe czy równoległe, pozwoli Ci zbudować solidne podstawy i swobodnie posługiwać się tym potężnym narzędziem w swoich studiach i przyszłej karierze. Opanowanie iloczynu skalarnego to krok milowy w kierunku głębszego zrozumienia świata wektorów i ich niezliczonych zastosowań.
Zainteresował Cię artykuł Iloczyn Skalarny: Pełny Przewodnik? Zajrzyj też do kategorii Matematyka, znajdziesz tam więcej podobnych treści!
