16/03/2010
Matematyka, często nazywana królową nauk, opiera się na precyzji, logice i niepodważalnych dowodach. To właśnie dzięki nim twierdzenia matematyczne zyskują status absolutnej pewności w ramach danego systemu. Ale czym właściwie jest twierdzenie i w jaki sposób udowadniamy jego prawdziwość? To pytania, które leżą u podstaw całej wiedzy matematycznej i których zrozumienie jest kluczowe dla każdego, kto chce zgłębić tajniki tej dziedziny.

Twierdzenie to nic innego jak zdanie, które opisuje pewien fakt, zależność lub równość, które możemy udowodnić, opierając się na już znanych i wcześniej uzasadnionych prawdach. Każde twierdzenie składa się z dwóch kluczowych części: założenia i tezy. Założenie określa warunki, przy których dane twierdzenie jest spełnione, natomiast teza zawiera własność, która zachodzi, gdy te warunki są spełnione. Najczęściej spotykaną formą zapisu twierdzenia jest konstrukcja „jeżeli…, to…”, gdzie „jeżeli” wprowadza założenie, a „to” – tezę. Przykładowo, w twierdzeniu o polu trójkąta, założenie brzmi: „Jeżeli podstawa trójkąta ma długość a, wysokość jest równa h”, a teza: „to pole trójkąta jest równe P = jedna druga razy a razy h”. Dowodzenie twierdzenia polega więc na przeprowadzeniu takiego rozumowania, aby z warunków podanych w założeniu w sposób niepodważalny wynikały własności sformułowane w tezie.
Co to jest Twierdzenie i jak je rozpoznać?
Zanim zagłębimy się w metody dowodzenia, ugruntujmy nasze rozumienie, czym dokładnie jest twierdzenie. Jak już wspomniano, jest to zdanie opisujące fakt, zależność lub równość, które można udowodnić. To odróżnia je od aksjomatów (założeń, które przyjmujemy za prawdziwe bez dowodu) czy definicji (które po prostu nadają znaczenie pojęciom).
Spójrzmy na kilka klasycznych przykładów twierdzeń zbudowanych według wzoru „jeżeli…, to…”:
- Jeżeli cyfrą jedności liczby naturalnej jest 0, to liczba ta jest podzielna przez 10. (Tutaj założeniem jest cyfra jedności równa 0, tezą – podzielność przez 10).
- Jeżeli bok trójkąta równobocznego ma długość a, to obwód tego trójkąta jest równy 3a. (Założenie: długość boku trójkąta równobocznego; Teza: wzór na jego obwód).
- Jeżeli na trójkącie prostokątnym jest opisany okrąg, to środek tego okręgu leży na przeciwprostokątnej trójkąta. (Założenie: okrąg opisany na trójkącie prostokątnym; Teza: położenie środka okręgu).
W każdym z tych przypadków widzimy wyraźne rozgraniczenie między warunkami początkowymi a wnioskami, które z nich wynikają. Proces dowodzenia polega na logicznym połączeniu tych dwóch części, krok po kroku, wykorzystując wcześniej udowodnione prawdy lub przyjęte aksjomaty.
Twierdzenia Odwrotne: Czy Zawsze Prawdziwe?
Ciekawym aspektem studiowania twierdzeń jest pojęcie twierdzenia odwrotnego. Twierdzenie odwrotne do danego twierdzenia T to takie, w którym założenie twierdzenia T staje się tezą, a teza twierdzenia T staje się założeniem. Intuicyjnie mogłoby się wydawać, że jeśli twierdzenie jest prawdziwe, to jego odwrotność również musi być prawdziwa. Nic bardziej mylnego!
Prawdziwość twierdzenia odwrotnego jest niezależna od prawdziwości twierdzenia wyjściowego. Może ono być prawdziwe lub fałszywe, nawet jeśli oryginalne twierdzenie jest niepodważalnie prawdziwe. Aby to zilustrować, przyjrzyjmy się poniższej tabeli:
| Twierdzenie | Czy twierdzenie jest prawdziwe, czy fałszywe? | Twierdzenie odwrotne | Czy twierdzenie jest prawdziwe, czy fałszywe? |
|---|---|---|---|
| Jeżeli czworokąt jest kwadratem, to jego przekątne przecinają się pod kątem prostym. | Twierdzenie prawdziwe | Jeżeli w czworokącie przekątne przecinają się pod kątem prostym, to jest on kwadratem. | Twierdzenie fałszywe |
| Jeżeli liczba naturalna większa od 2 jest liczbą pierwszą, to jest liczbą nieparzystą. | Twierdzenie prawdziwe | Jeżeli liczba naturalna większa od 2 jest liczbą nieparzystą, to jest liczbą pierwszą. | Twierdzenie fałszywe |
| Jeżeli liczba naturalna jest podzielna przez 5, to jest podzielna przez 10. | Twierdzenie fałszywe | Jeżeli liczba naturalna jest podzielna przez 10, to jest podzielna przez 5. | Twierdzenie prawdziwe |
Jak widać, twierdzenie odwrotne do twierdzenia prawdziwego może być zarówno prawdziwe (np. jeśli liczba jest podzielna przez 10, to jest podzielna przez 5), jak i fałszywe (np. przekątne rombu przecinają się pod kątem prostym, ale romb nie musi być kwadratem). Podobnie, twierdzenie wyjściowe może być fałszywe, a jego odwrotność – prawdziwa. To podkreśla wagę precyzyjnego dowodzenia każdego twierdzenia oddzielnie.
Kiedy zarówno twierdzenie, jak i jego odwrotność są prawdziwe, możemy zapisać je w postaci jednego twierdzenia, używając spójnika „wtedy i tylko wtedy” (ang. „if and only if”, w skrócie „iff”). Takie twierdzenie ma postać równoważności, co oznacza, że założenie i teza są ze sobą równoważne – każde wynika z drugiego.
Historia i Filozofia Dowodzenia: Od "Oczywistości" do Formalizmu
Rozumienie tego, czym jest twierdzenie i dowód, ewoluowało na przestrzeni wieków. Aż do końca XIX wieku i kryzysu podstaw matematyki, wszystkie teorie matematyczne budowano na kilku podstawowych właściwościach, które uważano za „oczywiste”. Były to tak zwane postulaty lub aksjomaty, na przykład postulaty Euklidesa. Dowiedzione twierdzenia uznawano za definitywną prawdę, o ile w dowodzie nie było błędu. Przykładowo, suma kątów wewnętrznych trójkąta wynosząca 180° była uważana za niepodważalny fakt.
Jednakże, kryzys podstaw matematyki, zapoczątkowany odkryciem geometrii nieeuklidesowych, zakwestionował tę „oczywistość”. W geometriach nieeuklidesowych, które nie prowadzą do żadnych sprzeczności, suma kątów trójkąta jest inna niż 180°. Oznacza to, że właściwość „suma kątów trójkąta równa się 180°” jest prawdziwa lub fałszywa w zależności od tego, czy przyjmiemy piąty postulat Euklidesa, czy go zanegujemy.
Podobnie, użycie „oczywistych” podstawowych właściwości zbiorów doprowadziło do sprzeczności znanej jako paradoks Russella. Te problemy zostały rozwiązane poprzez opracowanie bardziej rygorystycznych reguł manipulowania zbiorami i ponowne przemyślenie podstaw matematyki. W tych nowych fundamentach, twierdzenie to dobrze sformułowana formuła teorii matematycznej, którą można udowodnić z aksjomatów i reguł wnioskowania tej teorii. Ważne jest, że ważność twierdzenia zależy wyłącznie od poprawności jego dowodu, a nie od „prawdy” czy „znaczenia” aksjomatów. To pozwala na elastyczność i możliwość stosowania wyników jednej dziedziny matematyki w pozornie niepowiązanych obszarach.
To podejście umożliwiło również definiowanie teorii matematycznych i twierdzeń jako obiektów matematycznych, a także dowodzenie twierdzeń o nich samych. Przykładem są twierdzenia o niezupełności Gödla, które pokazują, że w każdej wystarczająco bogatej teorii formalnej istnieją zdania, których nie da się udowodnić ani obalić za pomocą aksjomatów tej teorii. Innym przykładem jest twierdzenie Goodsteina, które można sformułować w arytmetyce Peano, ale okazało się, że nie jest w niej dowodliwe, choć jest dowodliwe w bardziej ogólnych teoriach, takich jak teoria mnogości Zermelo-Fraenkela.

Różnica Między Twierdzeniem Matematycznym a Teorią Naukową
Zrozumienie, czym jest dowód matematyczny, wymaga rozróżnienia go od teorii naukowych, które, choć również dążą do wyjaśniania rzeczywistości, opierają się na zupełnie innej epistemologii. Twierdzenia w matematyce i teorie w nauce są fundamentalnie różne. Teoria naukowa nie może zostać „udowodniona” w sensie matematycznym; jej kluczową cechą jest to, że jest falsyfikowalna, czyli formułuje przewidywania dotyczące świata naturalnego, które można przetestować eksperymentalnie. Jakakolwiek niezgodność między przewidywaniem a eksperymentem świadczy o niepoprawności teorii naukowej, lub przynajmniej ogranicza jej dokładność czy zakres ważności.
Matematyczne twierdzenia, z drugiej strony, są czysto abstrakcyjnymi, formalnymi stwierdzeniami. Dowód twierdzenia nie może obejmować eksperymentów ani innych empirycznych dowodów w taki sam sposób, w jaki dowody te są używane do wspierania teorii naukowych. Prawidłowość dowodu matematycznego jest kwestią wewnętrznej spójności logicznej w ramach przyjętego systemu aksjomatycznego.
Niemniej jednak, istnieje pewien stopień empiryzmu i zbierania danych w procesie odkrywania twierdzeń matematycznych. Ustanawiając wzorzec, czasem za pomocą potężnego komputera, matematycy mogą mieć pomysł, co należy udowodnić, a w niektórych przypadkach nawet plan, jak przeprowadzić dowód. Możliwe jest również znalezienie pojedynczego kontrprzykładu, co udowadnia niemożność dowodu dla danego twierdzenia i może sugerować ograniczone formy pierwotnego twierdzenia, które mogą mieć możliwe dowody.
Na przykład, hipoteza Collatza i hipoteza Riemanna to dobrze znane, nierozwiązane problemy. Zostały one szeroko zbadane poprzez empiryczne sprawdzenia (np. hipoteza Collatza zweryfikowana dla wartości początkowych do około 2.88 × 10^18, a hipoteza Riemanna dla pierwszych 10 bilionów nietrywialnych zer funkcji zeta), ale pozostają nieudowodnione. Chociaż większość matematyków może tolerować założenie, że są prawdziwe, żadne z tych twierdzeń nie jest uważane za udowodnione. Tego typu dowody empiryczne nie stanowią dowodu matematycznego.
Słowo „teoria” występuje również w matematyce, ale oznacza zbiór aksjomatów, definicji i twierdzeń matematycznych, jak na przykład w teorii grup. Istnieją również „twierdzenia” w nauce, zwłaszcza w fizyce i inżynierii, ale często ich sformułowania i dowody opierają się na fizycznych założeniach i intuicji, a aksjomaty fizyczne, na których te „twierdzenia” się opierają, są same w sobie falsyfikowalne.
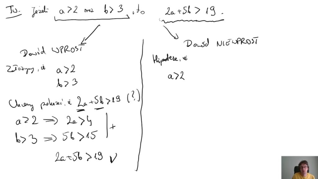
Metody Dowodzenia: Dowód Wprost i Dowód Nie Wprost
W matematyce istnieje wiele technik dowodzenia, ale dwie fundamentalne i najczęściej używane to dowód wprost oraz dowód nie wprost.
Dowód Wprost
Dowód wprost polega na bezpośrednim wykazaniu, że z prawdziwości założenia wynika prawdziwość tezy. Proces ten zazwyczaj obejmuje serię logicznych kroków, definicji, aksjomatów i wcześniej udowodnionych twierdzeń, które prowadzą od założenia do wniosku. Jest to najbardziej intuicyjna forma dowodzenia. Na przykład, aby udowodnić, że suma dwóch liczb parzystych jest liczbą parzystą, możemy postąpić wprost: jeśli x i y są liczbami parzystymi, to x=2k i y=2m dla pewnych liczb całkowitych k i m. Wtedy x+y = 2k+2m = 2(k+m), co jest definicją liczby parzystej. Dowód zakończony.
Dowód Nie Wprost
Dowód nie wprost, zwany również dowodem przez sprzeczność (łac. reductio ad absurdum), jest potężną techniką dowodzenia, która polega na wykazaniu, że zaprzeczenie tezy prowadzi do wniosku sprzecznego z założeniem, bądź też z jakimś twierdzeniem prawdziwym. W Słowniku Języka Polskiego możemy przeczytać, że dowód nie wprost to „dowód polegający na wykazaniu, że zaprzeczenie tezy prowadzi do wniosku sprzecznego z założeniem, bądź też z jakimś twierdzeniem prawdziwym”.
Schemat dowodu nie wprost wygląda następująco:
- Zakładamy, że założenie twierdzenia jest prawdziwe.
- Przyjmujemy, że teza twierdzenia jest fałszywa (czyli bierzemy jej zaprzeczenie).
- Poprzez logiczne rozumowanie, korzystając z założenia i zaprzeczenia tezy, dochodzimy do sprzeczności. Sprzeczność ta może być sprzeczna z początkowym założeniem, z wcześniej udowodnionym twierdzeniem, z aksjomatem, a nawet z samą sobą.
- Ponieważ z prawdziwych przesłanek nie można dojść do sprzeczności, oznacza to, że nasze początkowe założenie o fałszywości tezy musiało być błędne. Zatem teza musi być prawdziwa.
Klasycznym przykładem dowodu nie wprost jest dowód niewymierności pierwiastka kwadratowego z 2. Zakładamy, że pierwiastek z 2 jest liczbą wymierną (zaprzeczenie tezy), co oznacza, że można go zapisać jako ułamek p/q, gdzie p i q są liczbami całkowitymi, i nie mają wspólnych dzielników poza 1. Następnie, poprzez przekształcenia algebraiczne, dochodzimy do wniosku, że zarówno p, jak i q muszą być liczbami parzystymi, co jest sprzeczne z naszym początkowym założeniem, że p i q nie mają wspólnych dzielników. Ta sprzeczność dowodzi, że pierwiastek z 2 nie może być liczbą wymierną, czyli jest liczbą niewymierną.
Terminologia i Prezentacja Dowodów
Twierdzenie i jego dowód są zazwyczaj przedstawiane w określonym układzie, aby zapewnić jasność i czytelność. Typowy układ to:
- Twierdzenie (często z nazwiskiem osoby, która je udowodniła, oraz rokiem odkrycia lub publikacji dowodu).
- Sformułowanie twierdzenia (czasem nazywane propozycją), czyli zdanie „jeżeli…, to…”.
- Dowód – opis rozumowania.
- Zakończenie – koniec dowodu.
Koniec dowodu często sygnalizuje się literami Q.E.D. (łac. quod erat demonstrandum – co należało dowieść) lub jednym ze znaków „nagrobkowych”, takich jak „□” lub „∎”, wprowadzonych przez Paula Halmosa. Dokładny styl zależy od autora lub publikacji, ale te oznaczenia są powszechnie rozpoznawalne i informują czytelnika, że argumentacja została zakończona.

Często przed twierdzeniem umieszcza się definicje, które precyzują znaczenie użytych w nim terminów. Jest również powszechne, że twierdzenie poprzedza szereg propozycji lub lematów, które są następnie wykorzystywane w dowodzie. Lemat to pomocnicze twierdzenie, które jest dowodzone w celu ułatwienia dowodu większego twierdzenia. Kiedy dowód twierdzenia jest zakończony, często przedstawia się wnioski (korolarze), które są bezpośrednimi konsekwencjami udowodnionego twierdzenia, a ich dowody są zazwyczaj krótkie i wynikają wprost z głównego twierdzenia.
Twierdzenia "Głębokie" vs. "Trywialne" – Estetyka Matematyki
W świecie matematyki, poza czystą logiką, istnieje również silny element estetyki. Twierdzenia często opisuje się jako „trywialne”, „trudne”, „głębokie”, a nawet „piękne”. Te subiektywne oceny różnią się nie tylko między osobami, ale także w czasie i kulturze. Na przykład, gdy dowód zostanie uzyskany, uproszczony lub lepiej zrozumiany, twierdzenie, które kiedyś było trudne, może stać się trywialne.
„Trywialne” twierdzenia to te, które wynikają z definicji, aksjomatów i innych twierdzeń w oczywisty sposób i nie zawierają żadnych zaskakujących spostrzeżeń. Z drugiej strony, „głębokie” twierdzenia mogą być sformułowane prosto, ale ich dowody mogą być długie i trudne, obejmować dziedziny matematyki pozornie odległe od samego twierdzenia, lub wykazywać zaskakujące powiązania między różnymi obszarami matematyki. Doskonałym przykładem jest Wielkie Twierdzenie Fermata, które jest proste do sformułowania, ale jego dowód zajmował matematyków przez ponad 350 lat i wymagał rozwoju zaawansowanych technik z różnych dziedzin matematyki.
Niektóre twierdzenia mają znany dowód, którego nie da się łatwo zapisać w całości ręcznie. Najważniejsze przykłady to Twierdzenie o Czterech Barwach i hipoteza Keplera. Oba te twierdzenia zostały udowodnione poprzez sprowadzenie ich do wyszukiwania obliczeniowego, które zostało następnie zweryfikowane przez program komputerowy. Początkowo wielu matematyków nie akceptowało tej formy dowodu, ale stała się ona szerzej akceptowana, otwierając nowe perspektywy w dziedzinie dowodzenia wspomaganego komputerowo.
Często Zadawane Pytania (FAQ)
Czym różni się założenie od tezy w twierdzeniu?
Założenie to część twierdzenia, która opisuje warunki, przy których twierdzenie jest spełnione (często po słowie „jeżeli”). Teza to część twierdzenia, która zawiera własność, która zachodzi, gdy warunki opisane w założeniu są spełnione (często po słowie „to”). Dowód polega na wykazaniu, że teza wynika z założenia.
Czy twierdzenie odwrotne jest zawsze prawdziwe, jeśli oryginalne twierdzenie jest prawdziwe?
Nie, twierdzenie odwrotne do prawdziwego twierdzenia może być prawdziwe lub fałszywe. Przykładem jest twierdzenie: „Jeżeli czworokąt jest kwadratem, to jego przekątne przecinają się pod kątem prostym” (prawdziwe), a jego twierdzenie odwrotne: „Jeżeli w czworokącie przekątne przecinają się pod kątem prostym, to jest on kwadratem” (fałszywe, bo np. romb ma przekątne prostopadłe, ale nie jest kwadratem).
Na czym polega dowód nie wprost?
Dowód nie wprost (lub dowód przez sprzeczność) polega na tym, że zakłada się, iż teza twierdzenia jest fałszywa (czyli przyjmuje się jej zaprzeczenie). Następnie, poprzez logiczne rozumowanie, dochodzi się do sprzeczności z założeniem, z wcześniej udowodnionym twierdzeniem, lub z aksjomatem. Ponieważ sprzeczność nie może wynikać z prawdziwych przesłanek, oznacza to, że pierwotne założenie o fałszywości tezy musiało być błędne, a zatem teza musi być prawdziwa.
Czy dowody matematyczne są podobne do eksperymentów naukowych?
Nie. Dowody matematyczne są czysto abstrakcyjnymi i logicznymi konstrukcjami, które opierają się na aksjomatach i regułach wnioskowania. Ich ważność jest kwestią wewnętrznej spójności logicznej. Eksperymenty naukowe są natomiast narzędziem weryfikacji teorii naukowych, które formułują przewidywania dotyczące świata fizycznego i są falsyfikowalne poprzez obserwacje i doświadczenia.
Co oznacza skrót Q.E.D. na końcu dowodu?
Q.E.D. to skrót od łacińskiego wyrażenia „quod erat demonstrandum”, co oznacza „co należało dowieść”. Jest to tradycyjny sposób sygnalizowania, że dowód matematyczny został zakończony. Obecnie często używa się również symboli takich jak kwadrat (□) lub czarny kwadrat (∎).
Zainteresował Cię artykuł Sztuka Dowodzenia Twierdzeń Matematycznych", "kategoria": "Matematyka? Zajrzyj też do kategorii Edukacja, znajdziesz tam więcej podobnych treści!
